- High Purity Sucrose Ester Of Fatty Acids
- Sucrose Ester Of Fatty Acids S-CM
- Sucrose Ester Of Fatty Acids
- Compound Food Additive
- 2,3,4,6-Tetra-O-Benzyl-D-Glucopyranose
- 2,3,4,6-Tetra-O-Benzyl-D-Galactose
- Mono-Acetone-D-Glucose
- Diacetone-D-Glucose
- Methyl α-D-Mannopyranoside
- 1,2,3,4-Tetra-O-acetyl-β-D-glucuronic acid methyl ester
Pharmaceutical Excipient
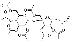
Sucrose Octaacetate(USP/NF/ChP)
Synonym: Octaacetyl Sucrose, Saccharose Octaacetate
Chemical Formula: C28H38O19    
Molecular Weight: 678.6    
CAS Number: 126-14-7
Molecular Structure:
.png)
Specification: ChP2025
| Item | Specification | 
| Appearance | White powder | 
| Related substance | |
| Identification | Complies | 
| Melting temperature,℃ | ≥78 | 
| Acidity,% | ≤2drops | 
| Water,% | ≤1.0 | 
| Residue on ignition,% | ≤0.5 | 
| Assay (HPLC), % | ≥98.0 | 
Properties: It is white powder with a strong bitter taste. It is easily soluble in methanol, soluble in ethanol , and very slightly soluble in water. The density is 1.28; boiling point is 250 °C.
Use: This product is used as alcohol denaturant. It also can be used for the treatment of gonarthromeningitis traditional Chinese medicine preparation placebo, coronary heart disease prescription placebo and the treatment of cardiovascular disease drugs.
It is also a good remedy for thumb sucking and nail biting in children. This product can also be used for the synthesis of sucrose polyester.
Storage: Well closed and store in a dry place.
Package: 25kgs/drum or as required by the customer.
Expiration Date: 2 years
 中文版
中文版 English
English 日本語
日本語 Français
Français Pусский
Pусский España
España

 Mobile version
Mobile version Micro station
Micro station